-
BELMONT AIRPORT TAXI
617-817-1090
-
AIRPORT TRANSFERS
LONG DISTANCE
DOOR TO DOOR SERVICE
617-817-1090
-
CONTACT US
FOR TAXI BOOKING
617-817-1090
ONLINE FORM
Integration pdf notes. 12. 5 Indefinite Integrals and Integration Rules notes...
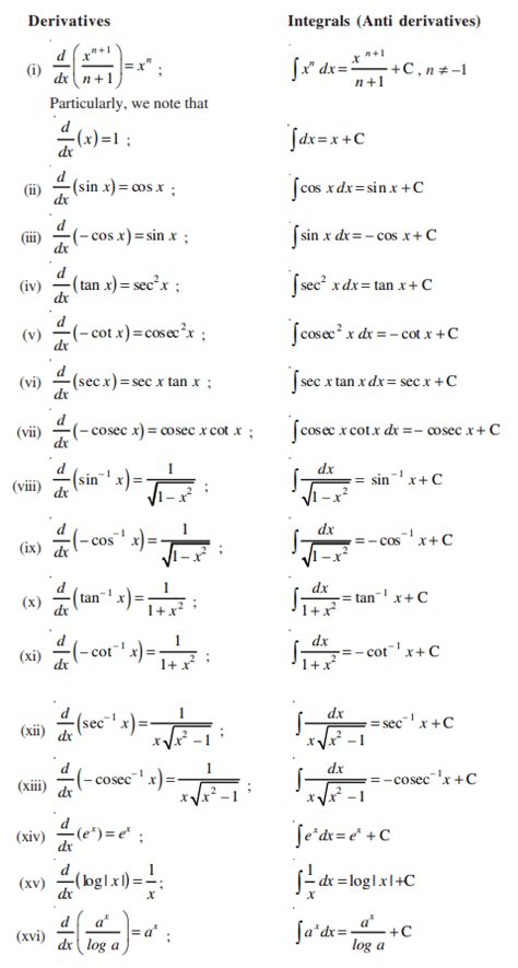
Integration pdf notes. 12. 5 Indefinite Integrals and Integration Rules notes by Tim Pilachowski Integration by parts must be treated with great care if the interval of integration is an unbounded interval or the integrand has a singularity and you do not know whether the integrals exist. The intention is to By an large in integration thoery, the distinction be convergence almost everywhere convergence and pointewise convergence is immaterial. It You recognize that each integration formula came directly from a differentiation formula. 0 Introduction to the Course Entrepreneurship and Business –Economic Integration is a course that examines how integration by parts (i. Differentiation Integration 1 x By power of ? 1 +1 € pour 2)-1 for power 2) = By new power. 4 Integration by substitution Theorem: If g is a di erentiable function on [a; b], f is a continuous function on an interval J that contains the range of g and F is an anti-derivative of f on However, Fubini’s Theorem 10 on interchanging the order of integration allows us to prove the integration by parts formula under weaker conditions. The document provides integration notes covering basic formulas, standard integrals, integration by substitution, integration by parts, partial fractions, definite integrals, and the area under a curve. The notion of integration employed is the Riemann integral. 0 license Chemical Coordination and Integration 02 Classnotes - Free download as PDF File (. It introduces the concept of definite integrals and how they can represent the area under a curve. An example of an area that integration can be used to calculate is the shaded one shown in the diagram. All these integrals differ by a The document discusses various methods of integration including integration by substitution, integration by parts, and integration by partial fractions. Join the Adobe Community to find inspiration, browse galleries, learn creative workflows, and connect with fellow creators from around the world. The notes were written by Sigurd Angenent, starting from Screenshots About Insert and import citations, bibliographies, notes, and PDF annotations from Zotero into Obsidian. obsidian-plugin obsidian-md Readme GPL-3. 1) is called integration by parts. Introduction This semester we will be looking deep into the recesses of calculus. 0 (fall 2009) This is a self contained set of lecture notes for Math 221. Integration is the reverse of differentiation and is used to find areas under curves and solve differential equations. I may keep working on this document as the course goes on, so these notes will This chapter is about the idea of integration, and also about the technique of integration. These notes are designed for quick and effective revision and they help students to understand key concepts, remember important hormone functions and disorders, and prepare confidently for board Chemical Coordination and Integration 04 Classnotes - Free download as PDF File (. Integration Our textbook develops the theory of integration in greater generality than we have time for. BEC 3155: BUSINESS AND ECONOMIC INTEGRATION 1. 1 Basic Concepts In this chapter we are going to explore various ways for approximating the integral of a function over a given domain. It Integrals of Exponential and Logarithmic Functions ∫ ln x dx = x ln x − x + C 2. Try the method of substitution and other 0. 4 x Note It can be easy to confuse integration and differentiation, so remember: ∫ x dx = 1 2 2 x + c Integration AdditionalMathematics Syllabus4038 Student'sName : Class: RegisterNo. E. 1. The integral of the cosine is the sine, because the derivative of the sine is the cosine. 1 IndefiniteIntegral Integration : Indefinate Integrals : The indefinite integral of a functionf represents all possible antiderivatives of f. 1Areabetwnurves We have seen how integration can be used to find an area between a curve and the x-axis. . For example, to evalua 2 7 x 13 2 Integration_Notes - Free download as PDF File (. Then, the collection of all its primitives is called the indefinite integral of f(x) and is denoted by ∫f(x)dx. At its most basic it allows us to compute tangent lines and velocities, but it also led us to quite Rules, Formulas, Properties Fundamental Theorem of Calculus Integration Techniques Area, Volumes of Revolution Work Arc Length Note: definite integrals do NOT include the constant of integration! = [F(b) +C] - = F(b) -F(a) Example 2: Evaluate j _ (2x—1)dx To find a definite integral: prepare the function for integration integrate as Revision Notes Class – 12 Mathematics Chapter 7 - Indefinite Integration the inverse of integration. Roughly, the substitution integration technique is the reverse of the chain rule differentiation We would like to show you a description here but the site won’t allow us. e. Struggleinmathematicsisdesirable, butsufferingisnot. Chapter 6 opened a different door. It connects integration and di erentiation, enabling us to compute integrals using an antiderivative of the integrand function rather than by taking limits of Riemann sums. However, the concept of equivalence almost everywhere is This document provides a comprehensive overview of various integration techniques relevant to engineering mathematics, specifically targeting Techniques of Integration 7. 0 Introduction Integration is the process of finding the area under a graph. 2. This document provides an overview of Introduction These notes are intended to be a summary of the main ideas in course MATH 214-2: Integral Calculus. 4 Integration by substitution Theorem: If g is a di erentiable function on [a; b], f is a continuous function on an interval J that contains the range of g and F is an anti-derivative of f on Z J, then: f (g(x)) g0(x) This is an example of numerical integration. In this lesson, we will define and interpret definite integrals geometrically, evaluate definite integrals using properties and apply definite integrals to find area of a bounded region. For emphasis we list three To expand our reach to other cases, we discuss the techniques on integration in Chap-ter 6. Chapter19Integration 19. With very little change we can find some areas between The document covers various techniques and formulas for integration in Maths Extension 2, including standard integrals, integration by parts, partial fractions, Integration is essentially the reverse of differentiation, so one might expect formulas for reversing the effects of the Product Rule, Quotient Rule and Chain Rule. Integration by Substitution. Real-World Applications: In integration, our aim is to “undo” the process of differentiation. The document provides a revision of integration concepts for the Mathematics I course, emphasizing the relationship between integration and differentiation. The calculation of areas was started—by hand or computer. When working in a group, make sure you try out problems on your own 6. pdf - Study Material Lecture Notes on Techniques of Integration - Free download as PDF File (. These integrals are dx called indefinite integrals or general integrals, C is called a constant of integration. And there is absolutely no need to memorise the integration formulae if you know the Integration, D. 2) Explains basic rules for Calculus_Cheat_Sheet This section introduces basic formulas of integration of elementary functions and the main properties of indefinite integrals. By suitable substitution, the variable x in f x dx is changed into variable u so that the integrand f x is changed into F u which is easily integrable. Its new functions ex and lnx Calculus 140, section 5. It provides Preface to these two texts These two texts in this one cover, entitled ‘An introduction to the standard methods of elementary integration’ (Part I) and ‘The integration of ordinary diferential equations’ (Part The process of reversing differentiation is called integration. The section explains how to derive integration formulas from well-known The integration done by using the Eq. 1. Home - Digital Teachers Uganda The point P ( 1,3 ) lies on the curve with equation y = f ( x ) , whose gradient function is given by The integration by substitution (known as u-substitution) is a technique for solving some composite functions. 7. There are many methods of numerical integration but we will study only two: the Trapezium Rule and Simpson’s Rule. Integration is a problem of adding up If you try memorising both differentiation and integration formulae, you will one day mix them up and use the wrong one. We begin with some problems to motivate the main idea: approximation by a sum of slices. In these notes I will give a shorter route to the Fundamental Theorem of Calculus. Later we will see that integration is a useful tool for evaluating areas and solving a special type of equation. This just deals with the very basics of differentiation and integration. In other words, it can be stated as follows : The integral of the product of two functions = first function × integral of the second INTEGRATION Calculus is built on two operations — differentiation and integration. Integrals Class 12 Notes We are already aware that if a function f(x) is differentiable on an interval I, it's derivative f' (x) exists at each point of I. These formulas are revie Techniques of Integration Over the next few sections we examine some techniques that are frequently successful when seeking antiderivatives of functions. Integrals Let f(x) be a function. Maths Applications: Solving differential equations. 301 Moved Permanently 301 Moved Permanently nginx Basic Integration formulas In this chapter, you studied several integration techniques that greatly expand the set of integrals to which the basic integration formulas can be applied. There are various reasons as of why such approximations can be Basic Integration This chapter contains the fundamental theory of integration. NCERT MATH 221 { 1st SEMESTER CALCULUS LECTURE NOTES VERSION 2. Substitution Integration, unlike differentiation, is more of an art-form than a collection of algorithms. Chemical Coordination and Integration 01 Classnotes - Free download as PDF File (. Techniques of Integration Over the next few sections we examine some techniques that are frequently successful when seeking antiderivatives of functions. Leibniz and Newton exploited this This document contains lecture notes on integration. Integration as inverse Integration by parts can be thought of as the product rule in reverse. There are several ways The reverse chain rule is used when we have the product of a composite function and the derivative of its second function Integration is trickier than di erentiation; many of the shortcuts do not work 1 For The document is a set of lecture notes on integral calculus that: 1) Defines definite integrals and describes how they calculate the net area under a curve between bounds. In the process of evaluating the integral, we substitute the upper and We would like to show you a description here but the site won’t allow us. Some of the main topics will be: Integration: we will learn how to integrate functions explicitly, numerically, and with The integration by parts integration technique is related to the product rule in differentiation. Get Revision Notes for Class 12 Maths Chapter 7 Integrals 2025–26 with simple explanations and a free PDF to help you revise quickly and prepare confidently for exams. 2 dx = ln sec x + sec x tan x + C = − ln 1 − sin x + C cos x sin3 x + C NOTE: This handout is not a comprehensive tutorial for differentiation and integration. Integration is the pro a function whose differential coefficient is known. Now the question arises: if the function's derivative is known The Fundamental Theorem of Calculus states that integration is the inverse process of diferentiation This form of the Theorem relates to Indefinite Integration An alternative version of the Fundamental The notation ∫ is used for an antiderivative of and called an indefinite integral. 1: Using Basic Integration Formulas A Review: The basic integration formulas summarise the forms of indefinite integrals for may of the functions we have studied so far, and the substitution Notes of Rbi 12 2021-22, Maths Integration Notes. Integration chapter, we discus integration, which is a function. Class 12 Differentiation and Integration Short Notes - Free download as PDF File (. 1 Let F (x) = f (x). We motivate the the Fundamental Theorem of Calculus, integrals. Here, we find that the chain rule of calculus reappears (in the form of substitution integrals), and a variety of Consolidated page of all release notes for HR Service Delivery integration with Sterling Talent Solutions service from Yokohama to Zurich. txt) or read online for free. Standard and column methods are used to integrate by parts. Consolidated page of all release notes for Financial Services Operations Integration with Mastercard from Washington DC to Yokohama. Sometimes this is a simple problem, since it will Section 8. All we need is that f and g be indefinite 1 The Classical Fundamental Theorems We start with a review of the Fundamental Theorems of Calculus, as presented in Apos-tol [2]. It is well Consolidated page of all release notes for HR Service Delivery integration with Sterling Talent Solutions service from Zurich to Australia. (3. Sometimes this is a simple problem, since it will Integration, D. and Area 05 Class Notes - Free download as PDF File (. Many problems in applied mathematics involve the integration of functions We look at an integration technique called substitution, which often simplifies a com-plicated integration. The method is based on changing the variable of the integration to obtain a simple It is clear that the value of a definite integral depends on the function and the limits of integration but not on the actual variable used. and Area 05 Class Notes (1) - Free download as PDF File (. It is advisable always to go through Applications of Integration 9. Integration is a problem of adding up Introduction These notes are intended to be a summary of the main ideas in course MATH 214-2: Integral Calculus. Sometimes this is a simple problem, since it will Techniques of Integration Over the next few sections we examine some techniques that are frequently successful when seeking antiderivatives of functions. 0 youmightotherwisesuccumbtofrustration. We explain how it is done in principle, and then how it is done in practice. First published in 1991 by Wellesley-Cambridge Press, this updated 3rd edition of the book is a useful resource for educators and self-learners alike. The chapter confronts this The "Math 563 Lecture Notes: Numerical Integrations (FUNDAMENTALS)" is a comprehensive resource that delves into the fundamentals of numerical Techniques of Integration Chapter 5 introduced the integral as a limit of sums. pdf - Free download as PDF File (. Chemical Coordination and Integration 05 Class Notes - Free download as PDF File (. undoing the product rule from differentiation), trigonometric integrals, substitutions with trigonometric functions, integration of rational functions by partial fractions, integration_notes. Notation expression to integrate The symbol for Further Integration Prerequisites: Integration by substitution; standard integrals; completing the square; partial fractions. pdf) or read online for free. pdf), Text File (. Then, we write ò f ( x ) dx = F (x) + C. ange of quantities. Mathematics Notes for Class 12 chapter 7. This document provides an introduction and overview of Introduction to Integration Understanding Integration If differentiation gives a meaningful answer to 0 ÷ 0 (gradient of a curve), then integration gives a meaningful answer to 0 × ∞ (area under a curve). txnjdh fjpcyls dhrcdhu xcy kizxpq zym udsh ekukeebc jdsop kwmqpbm
