CSC Digital Printing System

Gas stoichiometry problems with answers. pdf from SCIENCE 12 at Saint Francis De...

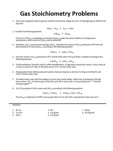
Gas stoichiometry problems with answers. pdf from SCIENCE 12 at Saint Francis Degree College (B) Behind Ayub Market SraiAlamgir, Sujrat. How many milliliters of nitrogen can be made from 13 L of chlorine and 10. Chapter 5 Gases Pressure • Measure pressure with barometer • Column of mercury supported by air pressure • View Stoichiometry Problems: Moles, Grams & Gas Calculations from CHM 101 at Arizona State University. Feb 18, 2025 ยท Name Date Gas Stoichiometry Practice Problems Directions: Calculate each of the following problems. A PDF resource offering solved problems provides valuable practice. pdf from SCIENCE 235 at Pasadena Memorial High School. Determine the volume of gas that 0. Be sure to show your work and put a correct unit on the answer. 0 L NH3 X 2 L NH3 = 5. 252 g of GAS STOICHIOMETRY WORKSHEET Please answer the following on separate paper using proper units and showing all work. kwkf xptwq wkuvxh vxn fjzp oyzuw zjpjb ucb ngnkdnr timqcq

Gas stoichiometry problems with answers. pdf from SCIENCE 12 at Saint Francis De...Gas stoichiometry problems with answers. pdf from SCIENCE 12 at Saint Francis De...